The problem

You are given a network of n nodes, labeled from 1 to n. You are also given times, a list of travel times as directed edges times[i] = (ui, vi, wi), where ui is the source node, vi is the target node, and wi is the time it takes for a signal to travel from source to target.

We will send a signal from a given node k. Return the minimum time it takes for all the n nodes to receive the signal. If it is impossible for all the n nodes to receive the signal, return -1.

Examples

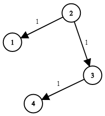
Input: times = [[2,1,1],[2,3,1],[3,4,1]], n = 4, k = 2
Output: 2
Input: times = [[1,2,1]], n = 2, k = 1
Output: 1
Input: times = [[1,2,1]], n = 2, k = 2
Output: -1

Constraints

  • 1 <= k <= n <= 100
  • 1 <= times.length <= 6000
  • times[i].length == 3
  • 1 <= ui, vi <= n
  • ui != vi
  • 0 <= wi <= 100
  • All the pairs (ui, vi) are unique. (i.e., no multiple edges.)

Explanation

From the description of the problem, we learn that we are given n nodes labeled from 1 to n. We are also given the array times that represents our directed edges. The times[i] is a triple value where:

  • the first value ui is a source node
  • the second value vi is a target node
  • the third value wi is the weight of the edge

Lastly, we are given node k that represents our starting point, and we want to know how long it will take the signal to reach every single node.

In case we have a node that is not connected to the starting node k, we would return -1, because it is impossible to send a signal to a disconnected node.

Let’s look at the first example and figure out how long it will take the signal to reach every node.

  • Starting from node 2, it will take us one unit of time to reach node 1 because the weight of the edge is one.
  • For node 3, it will take one unit of time to get the signal because the weight of the edge is one.
  • As for node 2, it will take zero units of time to receive the signal because it’s our starting point.
  • Lastly, for node 4, it will take two units of time to receive the signal because we started from node 2 (edge weight one), then went to node 3 (edge weight one). As a result, our path looks like this 2 -> 3 -> 4, and the travel time is 1 + 1 = 2.

In our output we will be returning the value 2 because it’s the largest time that any node needs to receive the signal.

Dijkstra-Shortest Path Solution

func networkDelayTime(_ times: [[Int]], _ n: Int, _ k: Int) -> Int {
    var edges: [Int : [[Int]]] = [:]
    for time in times {
        let u = time[0]
        let v = time[1]
        let w = time[2]
        edges[u, default: []].append([v, w])
    }

    var minHeap: Heap<Helper> = [Helper(w: 0, n: k)]
    var visit: Set<Int> = []
    var t = 0

    while !minHeap.isEmpty {
        let helper = minHeap.removeMin()

        if visit.contains(helper.n) {
            continue
        }

        visit.insert(helper.n)
        t = helper.w

        for edge in edges[helper.n, default: []] {
            let n2 = edge[0]
            let w2 = edge[1]
            if !visit.contains(n2) {
                minHeap.insert(Helper(w: helper.w + w2, n: n2))
            }
        }
    }

    return visit.count == n ? t : -1
}

struct Helper: Comparable {
    let w: Int
    let n: Int
    static func < (lhs: Helper, rhs: Helper) -> Bool {
        return lhs.w < rhs.w
    }
}

Explanation

We are going to solve this problem using Dijkstra’s algorithm, which underneath uses the Breadth First Search algorithm with a queue that uses a heap. In our case, we will be using a Min Heap because we want to find the shortest path that allows the signal to reach nodes first.

Let’s look at the example:

  • The first step in solving this problem is to create an adjacency list that we will use to map a node to its neighbor nodes. We will need the adjacency list later in our Dijkstra algorithm.

We are also going to use a Min Heap as a priority queue that will have two properties — path and node. The path is the distance that it will take to reach the node.

After all preparation steps, we are going to start Dijkstra’s algorithm from node 1, and we will add it to our Min Heap with path = 0 because it does not cost us anything to get there.

  • Next, we are going to pop node = 1 and add its neighbors node = 3 and node = 2 to our Min Heap with path equal to 1 and 4 accordingly.
  • Next, we are going to pop node = 3 because it has the shortest path = 1 (1 < 4). We are also going to add neighbor node = 4 to our heap. For the path, we are going to take the total it took us to reach node = 3 plus the path from node = 3 to node = 4 for a total 1 -> 3 -> 4 equals 1 + 1 = 2
  • Next, we are going to pop node = 4 because it has the shortest path = 2. You can see that node = 4 has neighbor node = 2, and it has already been added to our Min Heap, so we are going to calculate the distance from node = 4 to node = 2, which equals 1 -> 3 -> 4 -> 2 (1 + 1 + 1 = 3), and add it to our Min Heap.
  • Lastly, we are going to pop node = 2 with path = 3 because it has the minimum path, and we will return it as the result because we visited all of our nodes and found the minimum time needed to send the signal.

Time/ Space complexity

  • Time complexity: O(E*logV)
  • Space complexity: O(V + E)
  • Where E is the number of edges and V is the number of vertices in the graph.

Thank you for reading! 😊